CENTRO DE MEJORAMIENTO EDUCATIVO GUAYAQUIL - ECUADOR
🔥 Muy pronto: ¡Tú Asistente de Inteligencia Artificial 🤖 te ayudara a entender cualquier duda sobre temas de la página FisiyMates! 🔥
Inicio
Matemática
Fisíca
Estadistíca
Química
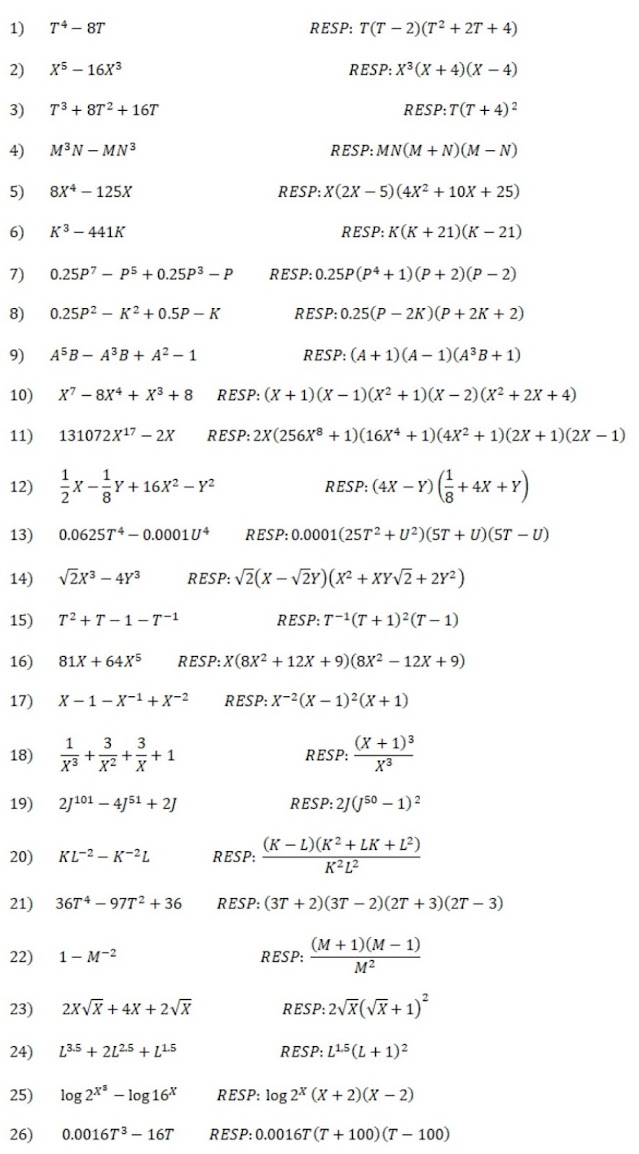
MISCELÁNEA DE FACTORIZACIÓN
DESCOMPONER EN DOS FACTORES
GRUPO 1
GRUPO 2
DESCOMPONER EN TRES O MÁS FACTORES
⬅️ Atrás
🏠 Home
➡️ Adelante
Entrada más reciente
Entrada antigua
Inicio
EJERCICIOS RESUELTOS DE DIVISIÓN DE POLINOMIOS
🤖