EJERCICIOS DE DERIVACIÓN POR REGLA DE LA CADENA

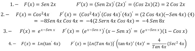
EJERCICIOS RESUELTOS DE REGLA DE LA CADENA

 

  EJERCICIOS PROPUESTOS

 Halle la derivada de las siguientes funciones





EJERCICIOS RESUELTOS DE INTERÉS COMPUESTO

FÓRMULA EJERCICIOS NIVEL 1            NIVEL 2 1.-  Se depositan £500 en un banco que paga 1.2% de interés compuesto efectivo semestral. ¿Cuá...