EJERCICIOS RESUELTOS DE LÍMITES
EJERCICIOS DE LÍMITES AL INFINITO RESUELTOS
Debemos recordar: c/0 = ∞, 0/c = 0, ∞/c = ∞, c/∞ = 0
NOTA: al dividir en una fracción para la misma expresión tanto al numerador como al denominador la fracción no se altera.
En algunos límites al infinito se puede seleccionar a la variable con la mayor potencia, ya que al ser el infinito elevado a una potencia, mientras mayor sea el exponente, más rápido crecerá al infinito.
En el ejercicio 1, numerador y denominador tienen a la variable y a su exponente iguales. Se divide para n cada término del numerador y denominador.
En los ejercicios 2 y 3 se selecciona la variable con mayor potencia y a cada término del numerador y denominador se divide para esa variable.
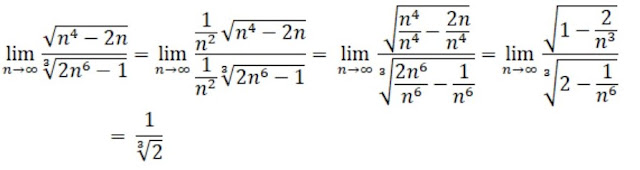
EJEMPLOS CON RADICALES EN LAS FRACCIONES
EJERCICIO 4. Analicemos en el siguiente límite:
- Si n =10 → f(n) = 1.015
- Si n = 100 → f(n) =0.8791
- Si n = 1000 → f(n) =0.8673
- Si n = 10000 → f(n) =0.8662
EJERCICIO 5. Analicemos en el siguiente límite:
- Si n =10 → f(n) =0.7929
- Si n = 100 → f(n) = 0.79369
- Si n = 1000 → f(n) = 0.7937005



